По мере изучения реакций лихенобиоты на атмосферное загрязнение были разработаны эмпирические методы, с использованием которых можно установить градиент воздействия загрязнителей. Обзор этих методов приведен в монографиях Л. Г. Бязрова и С. Я. Кондратюка. Их основу составляет определение индексов загрязнения или чистоты. Следует отметить, что наибольший эффект от применения этих методов проявляется при повторе однотипных исследований одной и той же территории через определенные промежутки. Использование лихеномониторинга в качестве сравнительного метода приносит наиболее объективные результаты.

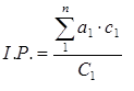
1. Индекс полеотолерантности (I.P.) был предложен
Х. Х. Трассом в 1968 г. Он вычисляется по формуле (1)

 

(1)

 

где n – число видов лишайников;

а – степень толерантности вида лишайника (эмпирическая величина);

с – величина проективного покрытия вида лишайника (в баллах);

С – степень общего проективного покрытия всех видов лишайников (в баллах).

Величина I.P. меняется от 1 до 10, где 10 соответствует наиболее загрязненным участкам.

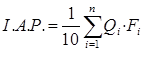
2. Индекс атмосферной чистоты (I.A.P.) впервые был предложен в 1968 г. Д. ДеСлувером и Ф. ЛеБланом. Значение индекса рассчитывается по формуле (2)

 

(2)

 

где n – число видов на учетной площади;

Qi – экологический показатель вида i (среднее число видов, растущих вместе с видом i на учетной площадке);

Fi – оценка встречаемости и покрытия вида i (по шкале в баллах от 5 для видов с очень высокой частотой встречаемости и очень высокой степенью проективного покрытия до 1 для очень редких видов с очень низкой степенью покрытия).

I.A.P. = 0 соответствует сильнозагрязненным территориям.

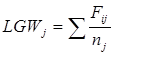
3. Индекс степени качества воздуха (LGW) предложен в Германии и вычисляется по формуле (3)

 

(3)

 

где i – номер дерева на исследуемой площади;

j – номер исследуемой площади;

Fij – сумма встречаемостей видов лишайников на дереве i в квадрате j;

nj – число обследованных деревьев на площади j.

Зоны с LGW = 0 соответствуют максимально загрязненным территориям.

4. Индекс развития эпифитных лишайников (ИРЭЛ) разработан Л. Г. Бязровым для г. Москвы. Величина ИРЭЛ вычисляется по формуле (4)

 

(4)

 

где n – число видов эпифитных лишайников в квадрате исследования;

Fj – оценка степени распространенности вида j на всей обследуемой территории;

fj – оценка степени распространенности вида j в пределах квадрата исследования;

sj – оценка степени надежности обнаружения представителей вида на стволах деревьев в пределах территории того же квадрата;

K – коэффициент, показатель экологических особенностей территории в пределах квадрата.

Показатели F, f и s оцениваются в баллах по пятиранговой шкале. Значение ИРЭЛ = 0 соответствует сильнозагрязненной территории, в то время как для «чистых» районов индекс ИРЭЛ может быть равным 550. После вычисления индекса для каждой площадки исследования значения наносят на карту и делят всю территорию по степени загрязнения.

Приведенные индексы в основном применялись в 1970-х г.г., когда уровень загрязнения атмосферы городских территорий (в частности, диоксидом серы) был высок. В связи с повсеместным существенным снижением диоксида серы в воздухе во многих регионах мира начиная с 1980-х гг. престала наблюдаться связь между изменением видового состава лишайниковых группировок и SO2.

В настоящее время при современных концентрациях диоксида серы в атмосфере необходимо разработка абсолютно новых и более простых возможностей использования лишайников для комплексной оценки состояния окружающей среды.

Для того чтобы правильно оценить индикаторные возможности отдельных видов лишайников, а также группы в целом, необходимо понять какие факторы (комплекс факторов) внешней среды вызывают реакции лишайников, пригодные для лихеноиндикации.

Последнее изменение: пятница, 9 июня 2017, 20:01