Слушатель программы самостоятельно в городских условиях описывает лихеносинузии согласно методике Х. Х. Трасса. С этой целью выбирает в однородном насаждении (парк, сквер, бульвар и пр.) 15 деревьев, располагающихся в ряд (трансекта), на которых на высоте 130 см с четырёх сторон света определяет вид лишайника и образуемое им проективное покрытие с помощью самостоятельно изготовленной прозрачной полиэтиленовой палетки (10 на 10 см с размерами квадратов 1 на 1 см). 

Если вид лишайника в полевых условиях определить не удаётся, то его собирают ножом вместе с субстратом и определяют в лабораторных условиях, используя определитель лишайников.

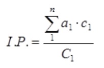
Затем по приведённой ниже таблице определяют класс полеотолерантности по Х. Х. Трассу и рассчитывают индекс полеотолерантности по формуле:

,

где а - степень толерантности вида к урбоэкосистеме (эмпириче­ская величина, определяется оценками данных о произрастании представителей видов в урбанизированных районах с определёнными уровнями загрязнения), с – ранговая величина покрытия (в баллах), С – степень суммарного покры­тия всех видов (в баллах).

Классы полеотолерантности некоторых лишайников

   Классы полеотолерантности

Типы местообитаний по       степени влияния антропогенных факторов и встречаемость в них видов

 

                           Виды

              1

Естественные место обитания (ландшафты) без ощутимого антропогенного влияния

Lecanactis abietina, Lobaria scrobiculata, Menegzzia terebrata, Mycoblastus sanguinarius, виды родов Pannaria, ParmeliellaAthroniа radiataBacidia albescens
BbechausiiBryoria sp., Buellia alboathraСyphellium lucidumGraphis scriptaHypogymnia tubulosaLecanora allophana
LargentataLfuscescensLepraria incanaLeptogium saturninumOpegrafa vulgataPseudoevernia furfuraceaVulpicida pinastri

           2

Естественные (часто) и антропогенно слабо измененные местообитания (редко)

Bryoria fuscescens, Evernia divaricata, Cyalecta ulmi, Lecanora coilocarpa, Ochrolechia androgyna, Parmeliopsis aleurites, Ramalina calicaris, Biatora sp., Cladonia fimbriata, C. coniocraea, Evernia mesomorpha, Heterodermia speciosa, Hypogymnia physodes, Phaeophyscia ciliata, Physconia detersa, Peltigera canina, 
Pertusaria amara, Ramalina dilacerata, 
R. roeslerii

           3

Естественные (часто) и антропогенно слабо измененные местообитания (часто)

Bryoria fuscescens, Tuckermannopsis chlorophilla, Hypogymnia tubulosa, Lecidea tenebricosa, Opegrapha pulicaris, Pertusaria pertusa, Usnea subfloridana, Lecanora symmicta, Melanelia olivacea, Opegrapha rufescens, Parmelia sulcata, Phaeophyscia kairamoi, Physconia perisidiosa, Physcia tribacea, Rinodina pyrina, Usnea hirta, Xanthoria candelaria

          4

Естественные (часто), слабо (часто) и умеренно (редко) измененные местообитания

Bryoria implexa, Vulpicida pinastri, Graphis scripta, Lecanora leptirodes, Lobaria pulmonaria, Opegrapha diaphora, Melanelia subaurifera, Parmeliopsis ambigua, Pertusaria coccodes, Pseudevernia furfuraceae, Usnea filipendula, Amandinea punctataCaloplaca haematitesCandelariella efflorescensPhyscia caesiaPhtenellaRamalina sp., Phstellaris

          5

Естественные, антропогенно слабо- и умеренно измененные местообитания (с равной встречаемостью)

Caloplaca pyracea, Lecania cyrtella, Lecanora chlarotera, L. rugosa, L. subfuscata, L. subrugosa, Lecidea glomerulosa, Melanelia exasperata, Melanelia olivacea, Physcia aipolia, Ramalina farinacea, Melanelia exasperatula, Physcia dubia, Rinodina sophodes

          6

Естественные (сравнительно редко) и антропогенно умеренно измененные (часто) место обитания

Arthonia radiata, Caloplaca aurantiaca, Evernia prunastri, Hypogymnia physodes, Lecanora allophana, L. carpinea, L chlarona, L. pallida, L. symmictera, Parmelia acetabulum, P. subargentifera, Pertusaria discoidea, Hypocenomyce scalaris, Ramalina fraxinea, Rinodina exigua, Candelariella vitellina, 
Flavopunctelia soredica, Physcia aipolia

          7

Умеренно (часто) и сильно (редко) антропогенно измененные местообитания

Caloplaca vitellina, Candelariella xanthostigma, Lecanora varia, Parmelia conspurcata, P. sulcata, P. verruculifera, Pertusaria amara, Phaeophyscia nigricans, Phlyctis agelaea, Physcia ascendens, Ph stellaris, Ph. tenella, Physconia distorta, Xanthoria polycarpa, Candelaria concolor, Oxneria fallax

          8

Умеренно и сильно антропогенно измененные местообитания (с равной встречаемостью)

Caloplaca cerina, Candelaria concolor, Phlyctis argena, Physconia grisea, Ph. Enteroxantha, Ramalina pollinaria, Xanthoria Candelaria, Phaeophyscia оrbicularis, Phaeophyscia nigricans

          9

Сильно антропогенно измененные местообитания (часто)

Lecanora expallens, Xanthoria parietina, Caloplaca ferruginea

         10

Очень сильно антропогенно измененные местообитания (встречаемость и жизненность видов низкие)

Lecanora conizaeoides, L. hageni, Lepraria incana, Scoliciosporum chlorococcum, Candelariella aurella

 

Последнее изменение: пятница, 25 января 2019, 23:01